

貨號
產品規格
售價
備注
BN14001-5 mg
5 mg
¥1600.00
產品描述
應用范圍:線粒體染料
產品參數
外觀:可溶于 DMSO 的紅色固體
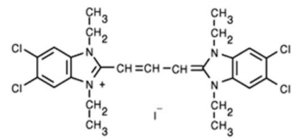
CAS 號:47729-63-5
分子式:C25H27Cl4IN4
分子量:652
分子結構圖:

貯存條件 4℃避光保存,保質期一年。
產品介紹
JC-1 是一種廣泛用于檢測線粒體膜電位的理想熒光探針,可以用來檢測細胞、組織或純化的線粒體膜電位。在線粒體膜電位較低時,JC - 1 不能聚集在線粒體的基質中,此時 JC - 1 為單體( monomer ),最大發射波長為 527 nm,可以產生綠色熒光;在線粒體膜電位較高時,JC-1 聚集在線粒體的基質中,形成聚合物(J-aggregates),最大發射波長為 590 nm,可以產生紅色熒光。這樣就可以非常方便地通過熒光顏色的轉變來檢測線粒體膜電位的變化。
線粒體膜電位的下降是細胞凋亡早期的一個標志性事件。通過 JC - 1 從紅色熒光到綠色熒光的轉變可以很容易地檢測到細胞膜電位的下降,同時也可以用 JC-1 從紅色熒光到綠色熒光的轉變作為細胞凋亡早期的一個檢測指標。
注意事項
1. JC-1 如果一次使用量較小,需把每管適當進行分裝,盡量避免反復凍融。
2. 熒光染料均存在淬滅問題,請盡量避光,以減緩熒光淬滅。
3. 為了您的安全和健康,請穿實驗服并戴一次性手套操作。