

貨號
產品規格
售價
備注
BN14028-20 mg
20 mg
¥280.00
產品描述
應用范圍:膜電位染色
產品參數
外觀:可溶于 DMSO 或 DMF 的橘紅色固體
λEx/λEm (MeOH) = 482/497 nm
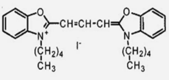
CAS 號:53213-81-3
分子式:C27H33IN2O2
分子量:544.47
分子結構圖:

貯存條件 -20℃避光保存,保質期一年。
產品介紹 碳菁染料 DiOC5(3) 被廣泛用于膜電位的測量。
注意事項
1. 熒光染料均存在淬滅問題,請盡量注意避光,以減緩熒光淬滅。
2. 為了您的安全和健康,請穿實驗服并戴一次性手套操作。